曲线修匀法
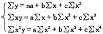
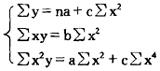
动态数列修匀法之一种。按曲线来修匀实际动态数列,用以反映动态数列的长期趋势的方法。计算曲线趋势的方法很多,现介绍二次曲线趋势。进行动态数列修匀所采用的二次曲线方程式:  为求得上式的参数a、b和c,需利用三个标准方程式:  解以上方程式求a、b、c值的方法叫直接法,但计算较繁琐,因此一般采用简捷法。即将上列三个标准方程简化为:  根据资料计算出n,∑y,∑x2,∑xy,∑x2y,∑x4的值,代入上述方程组,即可解得a、b、c的值。通过求解趋势曲线方程]=a+bx+cx2,求出对应于x的趋势值 。在理论分析和调查研究的基础上,利用趋势曲线方程式还可以进行长期预测。 |