网站首页  词典首页


请输入您要查询的字词:

 

字词 曲氟嗪
类别 中英文字词句释义及详细解析
释义 曲氟嗪

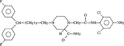
C30H33Cl2F2N5O2=604.53

CAS-120770-34-5

(±)-4′-氨基-4-[5,5-双(对-氟苯基)戊基]-2-氨甲酰-2′,6′-二氯-1-哌嗪乙酰苯胺。

(±)-4′-Amino-4-[5,5-bis(p-fluorophenyl)pentyl]-2-carbamoyl-2′,6′-dichloro-1-piperazineacetanilide.

冠脉扩张药。

Draflazine.

INN,USAN.

随便看

 

离鸟网收录3541549条中英文词条,其功能与新华字典、现代汉语词典、牛津高阶英汉词典等各类中英文词典类似,基本涵盖了全部常用中英文字词句的读音、释义及用法,是语言学习和写作的有利工具。

 

Copyright © 2004-2024 vtrois.com All Rights Reserved
更新时间:2026/4/18 12:37:17