网站首页  词典首页


请输入您要查询的字词:

 

字词 曲昔匹持
类别 中英文字词句释义及详细解析
释义 曲昔匹持

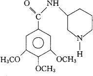
C15H22N2O4=294.35

CAS-30751-05-4

(±)-3,4,5-三甲氧-N-3-哌啶基苯甲酰胺。

(±)-3,4,5-Trimethoxy-N-3-piperidylbenzamide.

抗溃疡病药。

Troxipide.

INN,USAN,MI.

随便看

 

离鸟网收录3541549条中英文词条,其功能与新华字典、现代汉语词典、牛津高阶英汉词典等各类中英文词典类似,基本涵盖了全部常用中英文字词句的读音、释义及用法,是语言学习和写作的有利工具。

 

Copyright © 2004-2024 vtrois.com All Rights Reserved
更新时间:2026/4/17 22:50:17