网站首页  词典首页


请输入您要查询的字词:

 

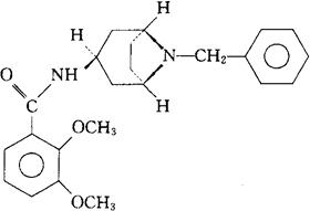
字词 曲帕必利
类别 中英文字词句释义及详细解析
释义 曲帕必利

C23H28N2O3=380.49

CAS-76352-13-1

N-(8-苄基-1αH,5αH-去甲莨菪烷-3β-基)-邻-藜芦酰胺。

N-(8-Benzyl-1αH,5αH-nortropan-3β-yl)-o-veratramide.

2,3-二甲氧-N-[8-(苯基甲基)-8-氮杂双环[3.2.1]辛-3-基]苯甲酰胺。

2,3-Dimethoxy-N-[8-(phenylmethyl)-8-azabicyclo[3.2.1]oct-3-yl]benzamide.

抗精神病药,安定药。

Tropaprid,MD 790501.

INN,USAN.

随便看

 

离鸟网收录3541549条中英文词条,其功能与新华字典、现代汉语词典、牛津高阶英汉词典等各类中英文词典类似,基本涵盖了全部常用中英文字词句的读音、释义及用法,是语言学习和写作的有利工具。

 

Copyright © 2004-2024 vtrois.com All Rights Reserved
更新时间:2026/4/21 12:11:33