网站首页  词典首页


请输入您要查询的字词:

 

字词 曲安奈德磷酸钠
类别 中英文字词句释义及详细解析
释义 曲安奈德磷酸钠

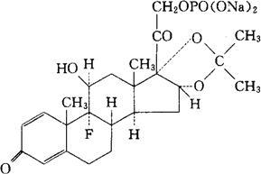
C24H30FNa2O9P=558.45

CAS-1997-15-5

CAS-76-25-5(triamcinolone acetonide)

CAS-989-96-8[triamcinolone acetonide 21-(dihydrogen phosphate)]

9-氟-11-羟-16,17-[(1-甲基亚乙基)双(氧)]-21-(膦酰氧)-,孕甾-1,4-二烯-3,20-二酮二钠盐,(11β,16α)-。

Pregna-1,4-diene-3,20-dione,9-fluoro-11-hydroxy16,17-[(1-methylethyl-idene)bis(oxy)]-21-(phosphonooxy)-,disodium salt,(11β,16α)-.

9-氟-11β,16α,17,21-四羟孕甾-1,4-二烯-3,20-二酮与丙酮复合成环16,17-乙缩醛21-(二氢磷酸酯)二钠盐。

9-Fluoro-11β,16α,17,21-tetrahydroxypregna-1,4-diene-3,20-dione cyclic16,17-acetal with acetone 21-(dihydrogen phosphate)disodium salt.

肾上腺皮质激素类药。

确炎舒松磷酸钠,曲安缩松磷酸钠。

Triamcinolone Acetonide Sodium Phosphate,CL 61965,CL 106359.

USAN.

随便看

 

离鸟网收录3541549条中英文词条,其功能与新华字典、现代汉语词典、牛津高阶英汉词典等各类中英文词典类似,基本涵盖了全部常用中英文字词句的读音、释义及用法,是语言学习和写作的有利工具。

 

Copyright © 2004-2024 vtrois.com All Rights Reserved
更新时间:2026/4/19 4:06:15