曲吉洛尔
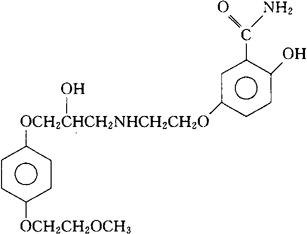
C21H28N2O7=420.46 CAS-7681-98-1 1-[2-(3-氨基甲酰-4-羟基苯氧)乙氨基]-3-[4-(2-甲氧基乙氧)苯氧]-2-丙醇。 1-[2-(3-Carbamoyl-4-hydroxyphenoxy)ethylamino]-3-[4-(2-methoxy-ethoxy)phenoxy]-2-propanol. (±)-5-[2-[[2-羟-3-[对-(2-甲氧基乙氧)苯氧]丙基]氨基]乙氧]水杨酰胺。 (±)-5-[2-[[2-Hydroxy-3-[p-(2-methoxyethoxy)phenoxy]propyl]amino]ethoxy]salicylamide. β-受体阻滞药,抗心律不齐药,抗高血压药。 曲格费洛。 Trigevolol. INN,USAN.  |