曲克芦丁
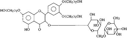
C33H42O19=742.68 CAS-7085-55-4 2-[3,4-双(2-羟乙氧基)苯基]-3-[[6-O-(6-去氧-α-L-吡喃甘露糖基)-β-L-吡喃葡糖基]氧]-5-羟-7-(2-羟乙氧基)-4H-1-苯并吡喃-4-酮。 2-[3,4-bis(2-Hydroxyethoxy)phenyl]-3-[[6-O(6-deoxy-α-L-mannopyranosyl)-β-D-glucopyranosyl]oxy]-5-hydroxy-7-(2-hydroxyethoxy)-4H-1-benzopyran-4--one. 3,5-二羟-3′,4′,7-三个(2-羟乙氧基)-3-[6-O-(6-去氧-α-L-吡喃甘露糖基)-β-D-吡喃葡糖苷]黄酮。 3,5-Dihydroxy-3′,4′,7-tris(2-hydroxyethoxy)-3-[6-O-(6-deoxy-α-L-mannopyranosyl)-β-D-glycopyranoside]flavone. 3′,4′,7-三(羟乙基)-芦丁。 3′,4′,7-Tris(hydroxyethyl)rutin. 毛细血管保护药。 用于静脉疾患(如痔)。 维生素P4。 Troxerutin,Vitamin P4,Z6000,THR,Posoyutin,Ruven,Veinamitol. INN,BAN,DCF,USAN,MI.  |