网站首页  词典首页


请输入您要查询的字词:

 

字词 暴马子
类别 中英文字词句释义及详细解析
释义 暴马子

【名称出处】:《吉林中草药》

【概况】:

异名 白丁香(《吉林中草药》),棒棒木(《北方常用中草药手册》),荷花丁香(《宁夏中草药手册》)。

基源 为木犀科丁香属植物暴马丁香的树皮、树干及茎枝。丁香属植物约19种;中国原产约15种。约有3种供药用。

原植物 暴马丁香Syringa reticulata(Blume)Hara var.amurensis(Rupr.)Pringle(Syringa amurensis Rupr.)

形态 乔木,高4~10m;树皮紫灰褐色,具细裂纹。

枝灰褐色,无毛,当年生枝绿色或略带紫晕,疏生皮孔,二年生枝条棕褐色,皮孔较密。单叶对生,宽卵形,卵形至椭圆状卵形,或为长圆状披针形,长2.5~13cm,宽1~6cm,先端短尾尖至尾状渐尖或锐尖,基部常圆形或为楔形、宽楔形至截形,上面黄绿色,下面淡黄色,无毛;叶柄长1~2.5cm,无毛。

圆锥花序由1到多对同一枝条上的侧芽抽生而成,长10~20cm,花序轴、花梗和花萼均无毛,花梗长0~2mm;花萼1.5~2cm,萼齿4,钝、凸尖或截平;花冠管长约1.5mm,裂片4,白色,长2~3mm,先端锐尖;雄蕊2,花药黄色;雌蕊1,子房上位,2室,花柱丝状,短于雄蕊。蒴果长椭圆形,长1.5~2cm,先端常钝,光滑或具细小皮孔。

花期6~7月,果期8~10月。(图见《中国植物志》.第61卷.83页.图版22.1-2;《东北木本植物图志》.图版154)

生境与分布 生于海拔100~1200m的山坡灌丛或林边、草地、沟边,或针、阔叶混交林中。分布于中国东北。原苏联远东地区和朝鲜也有分布。

。【生药】:

采集 全年可采树皮、树干及茎枝,除去杂质,鲜用或晒干。

【化学】:

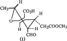
含滨蒿内酯(Scopar。ne)[1]、β-羟乙基-3,4-二羟基苯[2]、暴马醛酸甲酯(Methyl syramuraldehydate)(1)[3]

参考文献 [1] 药品与生物制品 1976;3:202 [2] 中草药通讯 1987;12:7 [3] 药学学报 1986;21(12):906

【药理】:

暴马子的水提物2.67g/kg、醇提物1.61g/kg、乙酸乙酯提取物0.62g/kg、乙酸乙酯再提物1.7g/kg及其成分β-羟乙基-3,4-二羟基苯0.75g/kg ig,对小鼠均有祛痰作用。

其作用是直接作用于呼吸道粘膜,与刺激胃粘膜反射增加呼吸道分泌无关,也不直接作用于中枢。

毒性 小鼠ig的LD50为:水煎剂,8±0.42g/kg;醇提物,4.86±0.812g/kg;乙酸乙酯提取物,1.84±0.033g/kg;乙酸乙酯再提物,5.112±0.585g/kg;-羟乙基3,4-二羟基苯:3g/kg。

参考文献 中医药研究 1979;(2):65

。【药性】:

性味 ❶ 《东北常用中草药手册》:“苦,微寒。”
❷ 《全国中草药汇编》:“苦,寒。”

功效 消炎,镇咳,利水。

主治 ❶ 《吉林中草药》:“痰鸣喘嗽,心脏性浮肿。”
❷ 《全国中草药汇编》:“咳嗽喘鸣,心源性水肿。”

用法用量 内服:煎汤,15~30g。

【临床应用】:

方选和验方 《全国中草药汇编》:“治慢性气管炎:暴马子、小檗各15g,松萝6g,水煎服。”

单方应用 ❶ 《吉林中草药》:“治痰喘咳嗽(慢性支气管炎,哮喘):暴马子1寸长,切条,水煎频饮。”
❷ 《吉林中草药》:“治心脏性浮肿:暴马子30g,切碎,水煎,日服2次。”

随便看

 

离鸟网收录3541549条中英文词条,其功能与新华字典、现代汉语词典、牛津高阶英汉词典等各类中英文词典类似,基本涵盖了全部常用中英文字词句的读音、释义及用法,是语言学习和写作的有利工具。

 

Copyright © 2004-2024 vtrois.com All Rights Reserved
更新时间:2026/4/19 2:22:32