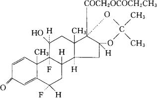
普西奈德
C27H34F2O7=508.56 CAS-58497-00-0 6α,9-二氟-11β,16α,17,21-四羟孕甾-1,4-二烯-3,20-二酮与丙酮形成环16,17-乙缩醛,21-丙酸酯。 6α,9-Difluoro-11β,16α,17,21-tetrahydroxypregna1,4-diene-3,20-dione cyclic 16,17-acetal with acetone,21-propionate. 皮质激素类药。 丙酸二氟缩松,普西缩松。 Procinonide. INN,USAN. 
|