网站首页  词典首页


请输入您要查询的字词:

 

字词 普罗瑞林
类别 中英文字词句释义及详细解析
释义 普罗瑞林

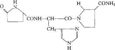
C16H22N6O4=362.39

CAS-24305-27-9

5-氧-L-脯氨酰-L-组氨酰-L-脯氨酰胺。

5-Oxo-L-prolyl-L-histidyl-L-prolinamide,

甲状腺素释放药。

Protirelin,Thypinone,Lopremone,TRH.

INN,BAN,DCIT,JAN,JP,NFN,USAN,MI.

随便看

 

离鸟网收录3541549条中英文词条,其功能与新华字典、现代汉语词典、牛津高阶英汉词典等各类中英文词典类似,基本涵盖了全部常用中英文字词句的读音、释义及用法,是语言学习和写作的有利工具。

 

Copyright © 2004-2024 vtrois.com All Rights Reserved
更新时间:2026/4/19 12:13:05