网站首页  词典首页


请输入您要查询的字词:

 

字词 普罗度酸
类别 中英文字词句释义及详细解析
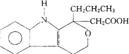
释义 普罗度酸

C16H1

NO3=273.33

CAS-36505-82-5

1,3,4,9-四氢-1-丙基吡喃并[3,4-b]吲哚-1-醋酸。

1.3,4,9-Tetrahydro-1-propylpyrano[3,4,-b]indolel-acetic acid.

消炎镇痛药。

Prodolic Acid.AY-23,289.

INN.US.AN.

随便看

 

离鸟网收录3541549条中英文词条,其功能与新华字典、现代汉语词典、牛津高阶英汉词典等各类中英文词典类似,基本涵盖了全部常用中英文字词句的读音、释义及用法,是语言学习和写作的有利工具。

 

Copyright © 2004-2024 vtrois.com All Rights Reserved
更新时间:2026/4/21 0:28:53