普拉贝克肌苷
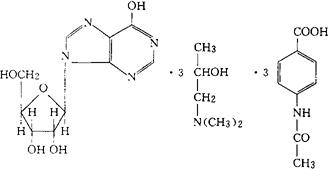
C10H12N4O5·3(C5H13NO)·3(C9H9NO3)=1115.26 CAS-36703-88-5 肌苷-2-羟丙基二甲基铵4-乙酰胺基苯甲酸盐(1∶3)。 Inosine-2-hydroxypropyldimethylammonium 4-ace--tamidobenzoate(1∶3). 单-4-(乙酰氨基)苯甲酸肌苷,(盐)与1-(二甲氨基)-2-丙醇(1∶3)的化合物。 Inosine,mono 4-(acetylamino)benzoate(salt)com pd.with 1-(dimethylamino)-2-propanol(1∶3). 抗病毒药,免疫促进药。 Inosine Pranobex,lnosiplex,Isoprinosine,Methisoprinol,Delimmun,Pranosine,Viruxan. BAN,USAN,MI.  |