网站首页  词典首页


请输入您要查询的字词:

 

字词 普匹卡星
类别 中英文字词句释义及详细解析
释义 普匹卡星

C21H43N5O12=557.60

CAS-66887-96-5

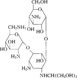
O-3-氨基-3-去氧-α-D-吡喃葡糖基(1→6)-O-[2,6-二氨基2,6-二去氧-α-D-吡喃葡糖基(1→4)]-2-去氧-N1[2-羟-1-(羟甲基)乙基]-D-链霉胺。

O-3-Amino-3-deoxy-α-D-glucopyranosyl(1→6)-O[2,6-diamino-2,6-dideoxy-α-D-glucopyranosyl(1→4)]-2-deoxy-N1-[2-hydroxy-1-(hydroxymethyl)ethyl]-D-streptamine.

O-3-氨基-3-去氧-α-D-吡喃葡糖基(1→4)-O-[2,6-二氨基-2,6-二去氧-α-D-吡喃葡糖基(1→6)]-2-去氧-N3[2-羟-2-(羟甲基)乙基]-L-链霉胺。

O-3-Amino-3-deoxy-α-D-glucopylransyl(1→4)-O[2,6-diamino-2,6-dideoxy-α-D-glucopyranosyl(1→6)]-2-deoxy-N3-[2-hydroxy-2-(hydroxymethyl)ethyl]-L-streptamine.

N′-(1,3-二羟-2-丙基)-卡那霉素C。

N′-(1,3-Dihydroxy-2-propyl)kanamycin C.

抗生素类药。

扑罗卡星。

Propikacin,UK-31,214.

INN,USAN.

随便看

 

离鸟网收录3541549条中英文词条,其功能与新华字典、现代汉语词典、牛津高阶英汉词典等各类中英文词典类似,基本涵盖了全部常用中英文字词句的读音、释义及用法,是语言学习和写作的有利工具。

 

Copyright © 2004-2024 vtrois.com All Rights Reserved
更新时间:2026/4/18 8:05:33