普劳诺托[中]
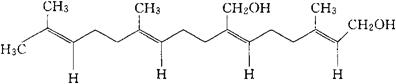
C20H34O2=306.49 CAS-64218-02-6 (2Z,6E)-2-[(3E)-4,8-二甲基-3,7-壬二烯基]-6-甲基-2,6-辛二烯-1,8-二醇。 (2Z,6E)-2-[(3E)-4,8-Dimethyl-3,7-nonadienyl]-6-methyl-2,6-octadiene-1,8-diol. 18-羟香叶基香叶醇。 18-Hydroxygeranylgeraniol. 抗溃疡病药。 Plaunotol,Kelnac,Kelnal,Plaugenol,CS-684. INN,USAN,MI.  |