网站首页  词典首页


请输入您要查询的字词:

 

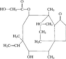
字词 普劳莫林
类别 中英文字词句释义及详细解析
释义 普劳莫林

C22H34O5=378.51

CAS-125-65-5

羟乙酸6-乙烯基十氢-5-羟-4,6,9,10-四甲基-1-氧代-3a,8-丙桥-3aH-环戊二烯环辛烯-8-酯。

Hydroxyacetic acid 6-ethenyldecahydro-5-hydroxy4,6,9,10-tetramethyl-1-oxo-3a,8-propano-3aH-cyclopentacycloocten-8-yl ester.

乙醇酸8-酯与八氢-5,8-二羟基-4,6,9,10-四甲基-6-烯乙基-3a,9-丙烷基-3aH-环戊环辛烯1(4H)-酮。

Glycolic acid 8-ester with octahydro-5,8-dihydroxy4,6,9,10-tetramethyl-6-vinyl-3a,9-propano-3aHcyclopentacycloocten 1(4H)-one.

抗生素类药。具有抗革兰阳性菌的活性。

脆柄菇素B,截短侧耳素。

Pleuromutilin,Drosopholin B.

INN,USAN.

随便看

 

离鸟网收录3541549条中英文词条,其功能与新华字典、现代汉语词典、牛津高阶英汉词典等各类中英文词典类似,基本涵盖了全部常用中英文字词句的读音、释义及用法,是语言学习和写作的有利工具。

 

Copyright © 2004-2024 vtrois.com All Rights Reserved
更新时间:2026/4/18 7:09:18