网站首页  词典首页


请输入您要查询的字词:

 

字词 普利霉素
类别 中英文字词句释义及详细解析
释义 普利霉素

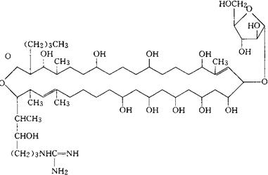
C55H103N3O17=1078.43

CAS-47917-41-9

CAS-30003-49-7

[5-[19-(α-D-阿拉伯呋喃糖基氧)-35-丁基-10,12,14.16,18,22,26,30,34-九羟-3,5,21,33-四甲基-36-氧代环氧己三十-4,20-二烯-2-基]-4-羟己基]胍。

[5-[19-(α-D-Arabinofuranosyloxy)-35-butyl-10,12,14.16,18,22,26,30,34-nonahydroxy-3,5,21,33-tetramethyl-36-oxooxacyclohexatriaconta-4,20-dien2-yl]-4-hydroxyhexyl]guanidine.

抗生素类药。

Primycin,Debrycin.

INN,USAN,MI.

随便看

 

离鸟网收录3541549条中英文词条,其功能与新华字典、现代汉语词典、牛津高阶英汉词典等各类中英文词典类似,基本涵盖了全部常用中英文字词句的读音、释义及用法,是语言学习和写作的有利工具。

 

Copyright © 2004-2024 vtrois.com All Rights Reserved
更新时间:2026/4/18 23:01:22