网站首页  词典首页


请输入您要查询的字词:

 

字词 春雷霉素
类别 中英文字词句释义及详细解析
释义 春雷霉素

农用抗菌素。

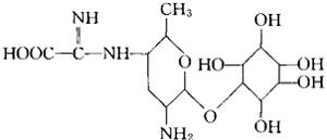
由小金包放线菌(Streptomyces kasugaensis)产生的代谢产物。化学名称:〔5-氨-2-甲基-6-(2,3,4,5,6-五羟基环己基氧代)吡喃-3-基〕氮基-α-亚氨醋酸。化学结构式如下。中国科学院微生物研究所从江西土壤中分离到春雷霉素产生菌种,其发酵液提取的结晶,1970年定名为春雷霉素。

纯品为盐酸盐白色结晶,熔点206~210℃,25℃时水中溶解度12.5%(w/V),不溶于甲醇、乙醇、丙酮等有机溶剂,中性和酸性溶液中稳定,pH9时活性下降为42.6%。春雷霉素对多种细菌、酵母、丝状真菌抑制浓度在50~200μg/ml,对水稻稻瘟菌浓度为0.1μg/ml。它对稻瘟病菌的作用机制是干扰氨基酸代谢酯酶系统,从而影响蛋白质的合成,抑制菌丝生长和孢子形成。水稻植株试验具强内吸作用,田间使用40单位药液喷洒对防治稻瘟病具预防和治疗作用。

在使用剂量下对水稻叶片和结实均无影响,但对邻近大豆有轻微药害。亦可用于防治高粱炭疽病。小白鼠急性经口LD50>8000mg/kg、大鼠急性经皮LD50>4000mg/kg,对眼、皮肤无刺激作用。体内无明显蓄积作用,慢性毒性试验无致畸、致癌、致突变作用,对水生生物及鱼毒性较低。

随便看

 

离鸟网收录3541549条中英文词条,其功能与新华字典、现代汉语词典、牛津高阶英汉词典等各类中英文词典类似,基本涵盖了全部常用中英文字词句的读音、释义及用法,是语言学习和写作的有利工具。

 

Copyright © 2004-2024 vtrois.com All Rights Reserved
更新时间:2026/4/17 18:22:25