网站首页  词典首页


请输入您要查询的字词:

 

字词 时间序列预测
类别 中英文字词句释义及详细解析
释义 时间序列预测

是收集与整理预测事物的历史资料,从中寻找过去该事物随时变化的演变趋势,并用数学模型表示出来,然后用此模型来预测的方法。这类方法的假设条件是:预测事物今后随时间的变化情势,与该事物过去随时间的变化情势一样。所以,是一种外推的方法。其具体方法很多,这里只介绍最常用的几种。

1.移动平均法

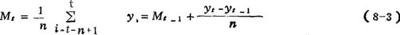
是将过去的资料按时间序列分段,每次预测都取最近的一段时间序列资料来求平均值。由于逐步推移,预测值(平均值)的数据不断更新,可以显示演变趋势,且比简单平均法更准确。移动平均值的计算用式8-3。

式中 Mt——第t期的移动平均值(t+1期的预测值);

n——移动平均的期数,一般取3,5,7;

yi——求Mt期间的各期实际值(i=1、2、…n)。

应用此法时,期数n的取值很重要。n值不同,移动平均值也不同,例如,表8-3是n取3和5的预测结果。

表8-3

2.指数平滑法

移动平均法采用的是算术平均,即把各期数据对预测值的影响视为同等重要。实际上,愈是近期的数据影响愈大。指数平滑法就是考虑了这种实况,给各期以不同的权数,愈是近期权数愈大。这样,t+1期的预测值就是求t期内各期的指数加权平均值,

如式8-4所示。

St=dyt+(1-d)St-1

=dyt+d(1-d)yt-1+d(1-d)2yt-2+… (84)+d(1-d)t-1y1+(1-d)ts0

式中 St(或St-1)——第七期(或t-1期)的加权均值;

d——平滑系数(取0.05-0.20或0.3-0.5);

S0——时间序列前几项的算术平均值,或第一项数值。

此法需正确选取α值。它是一个加权常数,其数值越大,则近期资料影响愈大,预测值愈接近实际。但要根据具体情况选取。选取α值的原则是:
❶ 时间序列长期趋势处于稳定状态时,则α值应取小(0。05-0.20);
❷ 时间序列具有迅速且明显的变动倾向时,则α值应取大(0.3-0.5)。

3.季节性预测法

有些产品的销售量与季节有关,常用季节性指数来进行预测。季节性指数表示在平均销售量水平上受季节影响的变动幅度。只要预测出下一年的总销售量,就可用季节性指数预测下年各月分别的销售量。所以,主要是求季节性指数。

例:设某厂电风扇在前3年每月的销售量如下表所示,试求各月的季节性指数。

求季节性指数的步骤如下:

(1)分别求出各年月份实销售量的合计数(如表中右栏);

(2)将各年对应月的合计数除以统计年数(即3年),得出各个对应月的平均销售量Ai(如表中第五行所列)。如1月份平均销售量为:

(3)计算3年期间所有月份(即36个月)的平均销售量B。即

(4)将除以B即得各个月份的季节指数fi如式8-5所示。

(8-5)

如1月份的季节性指数为f1=2034/2682=0.76,表示1月份的销售量占当年月平均销售量的76%。

这样,当用其他预测方法求出下一年的总销售量,就可知每月的平均销量,再用式8-5求出各月的季节性指数而预测各月的销量。

随便看

 

离鸟网收录3541549条中英文词条,其功能与新华字典、现代汉语词典、牛津高阶英汉词典等各类中英文词典类似,基本涵盖了全部常用中英文字词句的读音、释义及用法,是语言学习和写作的有利工具。

 

Copyright © 2004-2024 vtrois.com All Rights Reserved
更新时间:2026/4/20 4:00:30