网站首页  词典首页


请输入您要查询的字词:

 

字词 时滞微分不等式
类别 中英文字词句释义及详细解析
释义 时滞微分不等式

又称具有时滞的微分不等式(differential inequality with delay)。

此类不等式源于带有时滞微分不等式的比较原理,尔后逐渐发展成具有独特风格的一类新型的不等式。它主要在泛函微分方程解的性态的研究中有广泛的应用。

比如,对于解的估计、解的有界性、解的稳定性等方面的应用,都非常有效,其有效性不亚于格朗瓦尔-贝尔曼(Gronwall-Bellman)型积分不等式在常微分方程稳定性理论研究中的作用。

最早的纯量时滞微分不等式,是由哈拉那(A.Halanay)于1961年创建的:

若设存在常数α>β>0,对于t≥t0上有如下不等式 成立,

其中,而τ≥0为常数,则存在常数γ>0和K>0,使对于t≥t0

(1) x(t)≤Ke-γ(t-t0)成立。

尔后于1975年,由陶库玛戎(H.Tokumarn)等,将上述纯量时滞微分不等式推广成高维时滞微分不等式。

在不影响其应用有效性的前提下,为了证明时方便起见,庄维尔(R.D.Driver)于1977年在引用哈拉那不等式时,增设x(t)为非负连续函数,这样所得不等式(1)中的K为而γ为方程γ=α-βeγτ的(唯一的)正实根。

1986年,马万彪和章毅从不同角度建立了不同形式的非定常高维时滞微分不等式,有关这方面研究的结果,可归纳为:

若设A=(aij)m×m,B=(bij)m×m为实常矩阵,x(t)于[t0-τ,+∞)上非负连续,且于t≥t0上有如下不等式

(2) 成立,

其中g(t)=diag(g1(t),…,gm(t))且gi(t)≥l>0连续,l为常数,而x(t)=Col(x1(t),…,xm(t)),,…,(t)),,τ≥0为常数。

又若aii<0,aij≥0(i≠j),bij≥0且-(A+B)为M矩阵,则存在常数M≥1和γ>0,使对于t≥t0

(3) 成立。

若将(2)换为 成立,

其中(t)),y(t)=x(t)或,α+β=1,则结论(3)仍成立。

尔后,贾保国将时滞微分不等式(2)改进为时滞微分不等式和纯差分不等式混合在一起的混合型时滞微分不等式,即将(2)换成

(4)成立,

其中k=diag(k1,k2,…,km)且ki≥0,则结论(3)仍成立。

1987年以来,章毅等人从另外的角度建立了一些时滞微分不等式,于1991年发展成定常的和非定常的混合型时滞微分不等式:

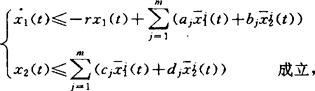
若设xi(t)(i=1,2)于[t0-τ,+∞)上非负连续,且于t≥t0上有如下不等式,

其中r>0,aj≥0,bj≥0,cj≥0,dj≥0均为常数,而时滞r≥0亦为常数,

又若存在常数αi(i=1,2)>0,k>0使

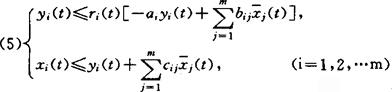
则当时,于t≥t0有x1(t)+x2(t)≤(α1+α2)ke-λ(t-t0),其中λ>0为常数。另外,若设xi(t)(i=1,2,…,m)于[t0-τ,+∞)上非负连续,而yi(t)(i=1,2,…,m)于[t0,+∞)上非负连续且于t≥t0上有如下不等式

成立,其中ai>0,bij≥0,cij≥0均为常数,ri(t)为非负连续函数且ri(t)≥r>0,r为常数,τ≥0为常数。

又若矩阵(bij/ai+cij)m×m之谱半径小于1,则存在常数k≥1和λ>0,使对于t≥t0 (i=1,2,…,m) 成立。

实际上,不等式(5)是不等式(4)的特殊情形,比较其他所设也仅是形式上的差异。

1988年,斯力更和马万彪创建了变量时滞可为无界的混合型时滞微分不等式:

若设A=(aij)m×m,B=(bij))m×m为实常矩阵,x(t)于I上非负连续,且于t≥t0上有如下不等式。 成立,

其中k=diag(k1,k2,…,km),ki≥0为常数;

g(t)=diag(g1(t),g2(t),…,gm(t))连续且gi(t)≥l>0,1为常数;

x(t)=Col(x1(t),x2(t),…,xm(t)),,…,

,时滞△(t)非负连续。

又若aii<0,aij≥0(i≠j),bij≥0且-(A+B)为M矩阵,则有如下结论:

(i)如果Δ(t)有界:0≤Δ(t)≤Δ(t)≤Δ(Δ为常数),则存在常向量M>0和常数γ>0,使对于t≥t0 成立。

(ii)如果Δ(t)无界,且t-Δ(t)→+∞(t→+∞),则存在常向量M>0使对于

其中

这里的区间

I={[t0-Δ,+∞),当0≤Δ(t)≤Δ时,

(-∞,+∞),当Δ(t)无界时。

1989年以来,斯力更和马万彪又建立了带有积分项的一般非定常线性时滞微分不等式、非线性混合型时滞微分不等式以及反方向的各类时滞微分不等式。在1990年陈伯山也建立过一类非线性时滞微分不等式。为了简单起见,归纳统一成如下形式:

若设xi(t)(i=1,2,…m):R→R+连续,使当xi(s)≤l≤+∞(t≥s≥t0)时,于t≥t0≥0有如下的不等式

(t,τ)Rim(xm(τ)dτ](i=1,2,…,m)成立,

其中ki≥0或ki≤0,-∞≤α≤0;,△(t)连续且0≤Δ(t)<t,t-Δ(t)→+∞(t→+∞);ri(t):R+→R+

Aij(t,τ):R+×R→R+连续;fi(x1,…,xm;y1,…,ym,z1,…,zm)于上连续,且关于xi拟单调不减;Rij(u)于0≤u≤δ2上连续、非负、不减,且Rij(0)=fi(0,…,0;0,…,0;0,…,0)=0

另设❶ ri(t)>0,

❷ 且对使

❸ 存在正数d1,…,dm使当0<u≤δ3≤+∞时,有

fi(d1u,…,dmu;d1u,…,dmu;si1Ri1(d1u),…,i(u)<0,则有如下的结论:

❶ 如果ki≥0(i=1,2,…,m),充分小,则存在与t0无关的常数M≥1,使xi(t)≤M‖φ‖≤l(t≥t0)且;如果,,则上述结论中的‖φ‖只要有界即可。

❷ 如果ki≤0(i=1,2,…,m;,max{xi(t)}>0,且于(-∞,t0]上不减,则当‖φ‖充分小时,存在使;如果,则只要求‖φ‖有界,有

综上所述,自1986年以来,在时滞微分不等式的研究方面出现过一些重要的突破:一是混合型时滞微分不等式的建立。二是具无界时滞的时滞微分不等式的建立。

三是反方向时滞微分不等式的建立;四是非线性时滞微分不等式的建立。这种种时滞微分不等式的建立,使之成为具有独特风格的一种新的分支,同时将泛函数分方程稳定性理论的研究也推进了一步,并给其它有关学科或实际应用也提供了新的方法和工具。

虽然,时滞微分不等式的研究发展较快,但一般非定常线性时滞微分不等式和具有一般无穷时滞的时滞微分不等式的题设条件还较苛刻,需改进或精确;另外,时滞微分不等式的应用范围也需进一步扩大。

【参考文献】:

1 Halanay A. Com Acad R P Romaine, 1961,11(11): 1305~1310

2 Tokumarn H, et al. Proc of IFAC 6th world congress, Boston, 1975 ' 44(4)

3 Driver R. D. Ordinary and delay differential equations. New York, Springer-Verlay,1977:389~391

4 章毅.中国科学,1988,4∶337~347

5 斯力更,马万彪.科学通报,1988,33(15)∶1130~1133

6 斯力更,马万彪.科学通报,1989,34(5)∶394

7 陈伯山.科学通报,1990,35(19);1514~1515

8 Si Ligeng,Ma Wanbiao.Nonlinear Analysis,1991,17(8)787~801

9 秦元勋.常微分方程青年论文专辑,北京:科学出版社,1991.203~211

10 章毅.数学进展,1991,20(4)∶488~494

(内蒙古师范大学斯力更教授、马万彪副教授撰)

上一篇:李雅普诺夫函数的构造
下一篇:现代科技综述大辞典上目录
"时中时中

时时,时常,平时。《五灯会元》卷四,香严义端禅师:“兄弟,佛是尘,法是尘,终日驰求,有甚么休歇?但时中不用挂情,情不挂物,无善可取,无恶可弃。莫教他笼罩著,始是学处也。”《景德传灯录》卷十二,临济义玄禅师:“西峰长老来参,师致茶果,命之令坐,问云:‘长老今夏在什么处安居?’云:‘兰溪。’师云:‘有多少徒众?’云:‘七十来人。’师云:‘时中将何示徒?’长老拈起甘子呈云:‘已了。’”

随便看

 

离鸟网收录3541549条中英文词条,其功能与新华字典、现代汉语词典、牛津高阶英汉词典等各类中英文词典类似,基本涵盖了全部常用中英文字词句的读音、释义及用法,是语言学习和写作的有利工具。

 

Copyright © 2004-2024 vtrois.com All Rights Reserved
更新时间:2026/4/19 8:10:05