网站首页  词典首页


请输入您要查询的字词:

 

字词 无色染料
类别 中英文字词句释义及详细解析
释义 无色染料

无色染料是无碳纸和热敏纸的主要原料之一,该类化合物一般是无色或浅色的晶体,具有油溶性,在与酸性或酚类物质接触后,结构中含有的生色基团发生变化成为有色共轭体系而发色。作为无碳或热敏的色素(无色染料),应具备如下条件:

(1)无色或浅色,在空气中稳定,不升华,用于无碳纸中的则要求易溶于有机溶剂中。

(2)与活性白土等显色剂接触后能瞬间显色,用于热敏纸的色素则要求与共存于涂层中的酚类等显色剂在较低温度下显色。

(3)显出的颜色能耐日晒,坚牢而稳定。

(4)成本低,易合成,得率高,能大批量生产。

无碳纸用染料:自无碳纸问世以来,国外已开发了多种无色染料品种,其主要的品种与类型如表2-85所示。

表2-85 主要无色染料品种

另有一些类型:如氢杂苯酚类,罗丹服内酯类,氧苯满朋吲哚类等。

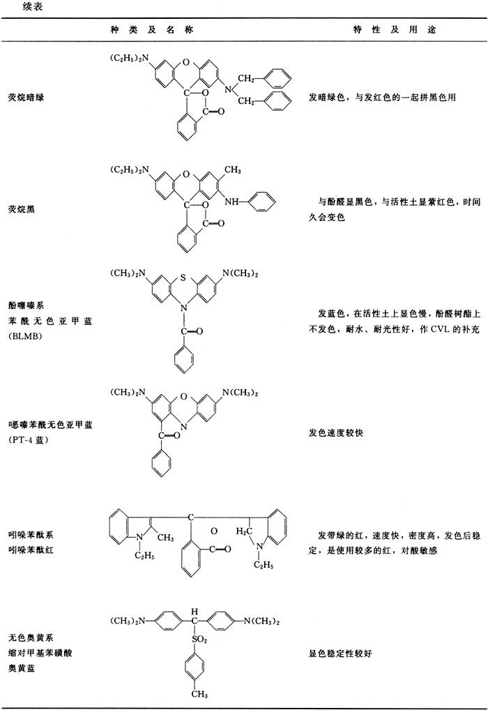
热敏纸用主要无色染料除了用于蓝色的CVL、BLMB外,基本上都采用发黑色的荧烷系染料,主要品种见表2-86所示。

表2-86 热敏纸用主要无色染料

其它与上述结构类似的荧烷染料还有如:

以上是曾经开发过的无碳或热敏色素,其它还有如三连氮系、苯酞内酰胺、甲亚胺系、特殊的苯吡喃系等,无实用价值,不再列出。目前使用得最普遍的就只有结晶紫内酯和荧烷系两者,而荧烷系在热敏染料方面发展得较多。

【参考文献】:

(1) Robert J.Kane.Paper Coating Additives.TAPPI,1995.

(2) Jan C.Water.The Coating Process.TAPPI PRESS,1993.

(3) Clay Coating Chemicals for Coated Paper.Nippon Zeon Co,Ctd.

(4) Producto for the Paper Industry and Sperial Fields.BASF.Co.

(5) 涂料调制用药品的选择和配方、设计方法及实际涂料调制方法.(日)日成共孟株式会社,东工物产株式会社.

(6) Coating Conference,1982 TAPPI PRESS.

(7) 纸パ技协志,1986~1994.

(8) 纸パプ.技术夕ィムス,1984~1990.

(9) 纸和纸板的水性涂布操作指南.英国纸张与纸板业联合会,涂布工作组技术部译.1979.6.

(10) (日)纸业时代社.张运展等译.纸加工技术(上下册),中国轻工业出版社,1991.

(11) 制浆造纸手册(第十一分册).北京:轻工业出版社,1988.

(12) 钱逢麟,竺玉书主编.涂料助剂——品种和性能分册.北京:化学工业出版社,1997.

(13) 张美云.纸加工原理与技术.北京:中国轻工业出版社,1998.

(14) 朱楚斌.重氮晒图纸生产基本知识讲义.1998.

(15) 薛德文.重氮晒图纸生产用的助剂.1998.

(16) 新编精细化工产品手册.化工出版社.

(17) 韩长日,宋小平.精细化工产品实用技术手册.北京:科技文献出版社,1996.

(18) 上海造纸,上海市造纸学会编辑出版.1982~1998.

(19) 广东造纸,1998.6.涂布加工纸专辑及1998.

(20) 造纸化学品,1997~1999.

(21) Pulp and Paper Manufacture.Third Edition,1990,Volume 8,Coating,Converting,and Speciality Processes,Part One:Pinment Coating,J.R.Gunning,R.W.Hagemeyer.

(22) 纸张涂布工程,新文化彩色印书馆(台湾),1980.郑腾雄.

随便看

 

离鸟网收录3541549条中英文词条,其功能与新华字典、现代汉语词典、牛津高阶英汉词典等各类中英文词典类似,基本涵盖了全部常用中英文字词句的读音、释义及用法,是语言学习和写作的有利工具。

 

Copyright © 2004-2024 vtrois.com All Rights Reserved
更新时间:2026/4/19 4:33:03