无自平衡的液位调节对象的特性求取
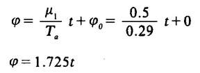
[说明]在造纸生产中,象漂白塔、蒸球成浆池等属于此种情况(见图4-6-8)。 a-漂白塔 b-蒸球 c-成浆池 [例]漂白塔的结构如图4-6-8a所示,已知数据见下,求其充浆速度特性方程。已知条件:   ❶ 当贮槽的截面不变时的漂白塔的特性方程式 当贮槽截面不变,则调节阀流通截面的变化与在恒压差时液体流经阀门的流量是成比例的,可用下式表示:  式中 φ——参数的相对变化  μ1——调节阀相对开度  t——充满时间(h) φ0——参数的起始相对变化量 设μ1=0.5,φ0=0,那么该塔充灌纸浆的速度为:  充满时,φ=1则充满时间为:  ❷ 当用来调节液位的贮槽截面是变化的,那么,对象方程式将是非线性的  式中 T(a最大)——最大反应时间(h)  其它符号含义及单位同上 通常,在自动调节液位时φ≤1,这时,对象方程式可近似写成:  如果φ近似于1,那么,就是求解非线性方程:  |