网站首页  词典首页


请输入您要查询的字词:

 

字词 无穷递缩等比数列(|q|<1)的各项和
类别 中英文字词句释义及详细解析
释义 无穷递缩等比数列(|q|<1)的各项和

数列a1,a1q,a1q2,…(|q|<1)前n项的和,当n无限增大时的极限,叫做这个无穷递缩等比数列各项的和,记为S,即

例1 (1)使lim(2x+1)n=0成立的实数x的取值范围是____.

(2)使存在的实数x的取值范围是____.

成立—1

存在—1

(1)依题意有—1<2x+1<1,解得—1

∴x的取值范围是(—1,0).

(2)依题意有—1<2x+1≤1,即—1

∴x的取值范围是(—1,0].

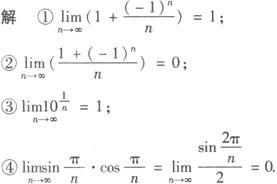
例2 对于数列{an}若=0,则称数列{an}为无穷小数列,在下列各数列中为无穷小数列的是( ).

A.❶ ❷  B.❶ ❸ 

C.❷ ❹  D.❸ ❹ 

故选C

探索延拓创新

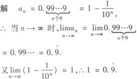
例3 比较1与0.9的大小.

随便看

 

离鸟网收录3541549条中英文词条,其功能与新华字典、现代汉语词典、牛津高阶英汉词典等各类中英文词典类似,基本涵盖了全部常用中英文字词句的读音、释义及用法,是语言学习和写作的有利工具。

 

Copyright © 2004-2024 vtrois.com All Rights Reserved
更新时间:2026/4/17 22:55:42