无理数的估算
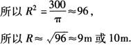
对无理数的估算主要是估计它在哪两个有理数之间.估算并不要求十分精确,只需求出一个大致的范围即可. 注意 1.估算方法:一般根据乘方运算和开方运算的互逆关系,可以寻找乘方前结果最接近于被开方数的两个有理数,从而确定某个数的大致范围.如 < < ,即2< <3.可知 的整数部分是2. 2.可以通过无理数的估算比较两个无理数的大小,或一个无理数与一个有理数的大小. 例1 5+ 的小数部分为a,5- 的小数部分为b,求a+b的值. 解 ∵3< <4, ∴ 的整数部分是3. ∴5+ 的整数部分是8,小数部分a= . 5- 的整数部分是1,小数部分b= . ∴ . 例2 下图是某校园内的一块长方形绿地,已知绿地长AB=40m,宽BC=20m.  (1)中间连接相对两角的小路AC长多少?它有60m吗? (2)如果要求误差小于1m,中间小路AC长大约是多少? (3)学校准备在这块绿地中央修建一个圆形喷水池,它的面积是300m2,你能估计它的半径吗?(误差小于1m) 解 (1) . 因为602=3600,远远大于2000,所以AC长没有60m  (3)设喷水池的半径为Rm,依题意得:πR2=300.  所以喷水池的半径为9m或10m. |