网站首页  词典首页


请输入您要查询的字词:

 

字词 无患子皮
类别 中英文字词句释义及详细解析
释义 无患子皮

【名称出处】:《日华子本草》

【概况】:

异名 穗子肉皮(《濒湖集简方》),无患子夹(《本草汇言》)。

基源 为无患子科无患子属植物无患子的果肉。

原植物 无患子Sapindus mukorossi Gaertn.(Sapindus abruptus Lour.)

余项参见“无患子”条。。

【生药】:

采集 果实成熟时,剥取果肉,晒干。

贮藏 置通风干燥处,防蛀。

【化学】:

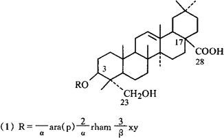
含常春藤皂甙元(Hederagenin)及多种皂甙,如无患子皂甙(Sapindoside)A、B、C、D、E,无患子皂甙E1(1)、G(2)、X(3)、Y1(4)、Y2(5)、[1]及无患子倍半萜甙Mukuroyioside)Ⅰa、Ⅰb、Ⅱa、Ⅱb。上述皂甙具有表面活性剂的作用[2]

(3)R=-α-ara-2-α-rham

(4)R=-α-ara-2-α-rham-3-β-xyl

(5)R=-α-ara-2-α-rham-3-α-ara

参考文献 [1] Chem Pharm Bull 1983;31(6):1998 [2] Phytochemistry 1986;25(4):871 [3] CA 1979;91:52717n

【药理】:

正常家兔ig无患子皂甙0.04mg/kg不影响血压,如同等剂量sc,则可使血压下降25%,对血胆甾醇含量无改变。

对饲喂胆甾醇的实验性动脉粥样硬化的家兔,如早期(第40d开始)po无患子皂甙,可降低血胆甾醇水平,增加卵磷脂,并可降低血压(36.7%)。

毒性 无患子皂甙A~E,对小鼠LD50为:ig1625mg/kg,sc 659mg/kg iv或ip270mg/kg。

参考文献 中药大辞典.上册.上海人民出版社,1977:344。【药性】:

性味 苦、平。

❶ 《本草拾遗》:“有小毒。”
❷ 《日华子本草》:“平。”
❸ 《纲目》:“微苦,平。有小毒。”

功效清热化痰,止痛解毒,消积。

主治 喉痹肿痛,胃痛,疝痛,风湿痛,虫积,食滞,无名肿痛。

❶ 《本草拾遗》:“主喉闭。”
❷ 《陆川本草》:“行气止痛,消胀去郁。治腹泻,腹痛,喉痛。”
❸ 《南宁市药物志》:“化热痰。”
❹ 《中国药用植物图鉴》:“为祛痰剂,并能解河豚中毒,止疝痛,风湿痛。”

用法用量 内服:煎汤,6~9g;捣汁或研末。

外用:捣涂,含咽或煎水洗。。

【临床应用】:

单方应用 ❶ 《广西民间常用草药》:“治风痰:无患子(去核)1只,研烂,开水冲服。”
❷ 《本草汇言》:“治喉痹,开咽窍:无患子核外肉,捣汁和白汤服。”
❸ 《广西民间常用草药》:“治心胃气痛,痧气,虫痛,食积腹痛,小便涩痛:无患子果(去核)7只,各纳食盐少许,烧存性,研末,开水泡服。小儿酌减。”
❹ 《广西民间常用草药》:“治毒虫咬及无名肿毒:无患子果肉适量,捣烂,用开水调后,擦患处。”
❺ 《广西实用中草药新选》:“治急性胃肠炎:无患子果6g,煅炭煮水服。”

随便看

 

离鸟网收录3541549条中英文词条,其功能与新华字典、现代汉语词典、牛津高阶英汉词典等各类中英文词典类似,基本涵盖了全部常用中英文字词句的读音、释义及用法,是语言学习和写作的有利工具。

 

Copyright © 2004-2024 vtrois.com All Rights Reserved
更新时间:2026/4/19 4:12:51