网站首页  词典首页


请输入您要查询的字词:

 

字词 无味红霉素[典]
类别 中英文字词句释义及详细解析
释义 无味红霉素[典]

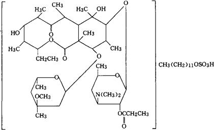
C40H71NO14·C12H26O4S=1O56.39

CAS-3521-62-8

红霉素2′-丙酸酯的十二烷基硫酸盐。

Erythromycin 2′-propionate dodecylsulfate(salt).

抗生素类药。用于对青霉素耐药的葡萄球菌感染、支原体肺炎及白喉带菌者。

依托红霉素。

Erythromycin Estolate,Erythromycin Propionate Launyl Sulfate,Ilosone.

无味红霉素片(依托红霉素片)。

BAN,BP,USAN,USP,MI.

随便看

 

离鸟网收录3541549条中英文词条,其功能与新华字典、现代汉语词典、牛津高阶英汉词典等各类中英文词典类似,基本涵盖了全部常用中英文字词句的读音、释义及用法,是语言学习和写作的有利工具。

 

Copyright © 2004-2024 vtrois.com All Rights Reserved
更新时间:2026/4/18 2:16:30