网站首页  词典首页


请输入您要查询的字词:

 

字词 旋光色散
类别 中英文字词句释义及详细解析
释义 旋光色散

1981年鲍特(Biot)发现石英能使偏振光的偏振面旋转,并在发现这种旋光现象的同时,在电气石中观察到圆二色性。

后来科顿(Cotton)发现这两种现象的相互关系,称之为Cotton效应。1934年,罗莱(Loway)发表了第1本有关旋光色散的书,但直到1953年在特建西(Djerasi)实验室有了第1台旋光仪后,旋光色散法才被广泛应用于研究有机分子和生物大分子。

旋光是指有光学活性的分子使平面偏振光的振动方向旋转的现象,其旋转程度与波长的关系称为旋光色散(ORD)。

光是一种电磁波,而且是一种横波,波的振动方向与传播方向互相垂直。

电磁波可以用它的电矢量或磁矢量的振幅和方向来表征它的特性,电矢量方向一定的光称为偏振光,各种方向的偏振光均匀混合即组成自然光。自然光通过一个偏振器后,就只有一个振动方向的电磁波能透过,其余的全部被滤掉,这种只具有一个电矢量方向的光波称为平面偏振光或线偏振光。

平面(线)偏振光通过物质分子后发生两种情况:一种是偏振光射入物质分子后,其振动方向不改变,这种物质不是旋光物质。另一种是由于物质分子的不对称性,因而具有能使平面偏振光振动方向旋转的能力,这样的物质称为旋光物质或光学活性物质,如石英、糖、氨基酸和一些药物都是具有旋光性的旋光物质。

当一束光进入物质时,电磁波的传播方向和传播速度会发生改变,这种改变叫作光的折射。折射程度用折射率表示。

不同物质的折射率不同,且随波长(λ)而异,它反映分子的电子结构和几何排布的不同。

一束平面偏振光可以看作是由一束左旋圆偏振光和一束右旋圆偏振光组成的。

当一束平面偏振光进入非旋光介质时,介质对左旋圆偏振光和右旋圆偏振光具有相同的折射率,则透射的平面偏振光的振动方向与入射的相同。但当一束平面偏振光进入旋光介质时,介质对左旋圆偏振光和右旋圆偏振光具有不同的折射率。由于平面偏振光通过介质时产生相位差,因此在离开介质时,它们合成的平面偏振光的振动方向将和入射的平面偏振光的振动方向成一角度而产生旋光,这个角度称为旋光度,用α表示。α是λ的函数。

旋光物质使平面偏振光振动方向旋转的能力,除与它本身的性质有关外,还与偏振光通过分子的数目(浓度,半径)有关。旋光物质在不同波长下的旋光度αλ可由旋光色散仪测得其读数。

但在大部分工作中,旋光色散谱的纵坐标常用比旋度[α]λ和摩尔比旋度[Φ]λ表示:

式中αλ为在一定波长下的旋光度,用度表示;d为光所通过的介质长度,用dm表示;C为浓度,用g/ml表示;M为分子量。

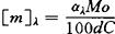
在生物化学中,还常使用平均残基旋光度[m]λ

式中Mo为平均残基分子量,即用总残基数除分子量所得之值。

如果以波长为横坐标,旋光度(或比旋度、摩尔旋光度等)为纵坐标,画出某一物质的比旋度随波长的变化关系即为旋光色散谱。旋光色散谱有以下几种类型:(1)平滑型曲线:这类曲线没有高峰和凹谷,表明样品在测定波长范围内不具有光学活性的吸收带。随著波长的减短,旋光增加的是正型曲线,反之则为负型曲线。(2)单Cotton效应曲线:在生色团特征吸收的波长附近产生峰和谷的曲线,称为Cotton效应曲线。

Cotton效应是由于左圆偏振光、右圆偏振光在介质中不但折射率不同,而且被介质吸收程度也不同形成的结果。Cotton是发现这一现象的学者。长波处有峰,短波处有谷,称正Cotton效应,反之则为负Cotton效应曲线。(3)复Cotton效应曲线:有不止一个的峰和谷的曲线。

测定化合物光学活性的最简单的仪器是旋光仪。使用钠灯作光源,取其D线(589.3nm),用滤光片滤去其它波长的光后,由起偏器使其变成平面偏振光。

此面偏振光经过样品管和检偏器后射到光电管上,产生光电信号,即可检测样品的旋光度。这样的旋光仪至今仍然被用来鉴定旋光异构体、化合物的纯度、测定糖分度、糖尿病人的血糖浓度等。

旋光色散仪结构与旋光仪相同,只是光源采用强度更大、波长范围更宽的氙灯或氚灯和钨灯,并使用单色器将其色散为单色光。偏振器由尼科尔(Nicol)棱镜发展到罗琼(Rochon)棱镜,检测器也由光电倍增管代替光电管以使测定灵敏度更为提高,通过旋光色散仪可以测定分子的立体结构和生物大分子的溶液构象,如计算蛋白质α-螺旋、β-折叠等。虽然旋光色散仪结构简单,但由于旋光色散的图谱分析和数据处理比较复杂和困难,所以20世纪70年代后,这种仪器已趋淘汰,而由圆二色仪及其技术代替(参见“圆二色性”条)。

【参考文献】:

1 Schecthter E.An Proc Natl Acad,USA 1964,51∶695-702

2 斯科洛D A,等.仪器分析原理.上海:上海科学技术出版社,1980

3 鲁子贤,等.圆二色性和旋光色散在分子生物学中的应用.北京:科学出版社,1987

(中国科学院生物物理所郭尧君研究员撰)

随便看

 

离鸟网收录3541549条中英文词条,其功能与新华字典、现代汉语词典、牛津高阶英汉词典等各类中英文词典类似,基本涵盖了全部常用中英文字词句的读音、释义及用法,是语言学习和写作的有利工具。

 

Copyright © 2004-2024 vtrois.com All Rights Reserved
更新时间:2026/4/21 18:56:43