方锥管的设计计算实例
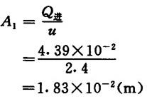
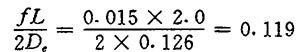
【说明】 方锥管进浆分布器的设计计算,除上述计算步骤及方法外,还可参考下述方法直接进行设计计算。 【例】 某厂新安装的1575卫生纸机网前箱采用了方锥管多管进浆形式,用δ=12mm硬塑料板拼焊,一侧焊Φ42mm塑料管12根作多管进浆。已知条件及参数如下: 纸机车速V=60m/min 抄宽B=1.70m 纸的定量q=22g/m2 回流比R=12% 溢流比Y=10% 上网浓度C=0.1% 成纸水分W=7% 试进行设计计算。 解: ❶ 方锥管进浆量Q进  ❷ 进口端面尺寸确定 总管流速一般选2~3m/s,取μ=2.4m/s,则方锥管端面面积A1:  进口端面长宽比一般为H/b=0.5,因利用原有材料,取b=95mm。则进口端号度H1为:  ❸ 回流端面尺寸确定 方锥管进口端水力直径De:  取方锥管长(可取网槽宽)L=2000mm,摩擦系数(0.012~0.015,低浓取上限,高浓取下限)f=0.015,则:  取浆料分配系数λ=R=12%,则回流端面面积A0为:  回流端面长度H0为:  |