网站首页  词典首页


请输入您要查询的字词:

 

字词 方程的近似解
类别 中英文字词句释义及详细解析
释义 方程的近似解

若方程f(x)=0,在(a,b)上的根为ξ(未知),可用x1,x2,…,xn,…表示ζ的逐次近似值。

设f(x),f′(x),f″(x)在〔a,b〕上连续,f(a)、f(b)<0,且f(x)与f″(x)在〔a、b〕上不变号,则可由下述方法求得方程的近似解:

❶ 弦位法(比例法):

当f′(x)与f″(x)同号时,

求解误差为 |xn-ξ|≤。其中m为|f′(x)|在〔a,b〕上的最小值,

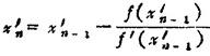
❷ 切线法(牛顿法):

当f(a)与f″(x)同号时,

x1=a-,迭代公式为

❸ 联合法(切线法与弦位法的联合使用):当f(a)与f″(x)同号时,

这里,xn<ξ<

误差:1xn-ξ|≤|-xn|或|-ξ|≤|-xn|

❹ 迭代法:设f(x)在〔a、b〕上连续,f(a)·f(b)<0,且f(x)=0可以化成x=φ(x)形式,在〔a、b〕上有|φ′(x)|≤q<1,则在〔a、b〕上任意取定一个值x0,计算

x1=φ(x0),x2=φ(x1),……,xn=φ(xn-1)则=ξ1且其误差|xn-ξ|≤qn(b-a)。

随便看

 

离鸟网收录3541549条中英文词条,其功能与新华字典、现代汉语词典、牛津高阶英汉词典等各类中英文词典类似,基本涵盖了全部常用中英文字词句的读音、释义及用法,是语言学习和写作的有利工具。

 

Copyright © 2004-2024 vtrois.com All Rights Reserved
更新时间:2026/4/19 18:01:12