网站首页  词典首页


请输入您要查询的字词:

 

字词 方差
类别 中英文字词句释义及详细解析
释义 方差

旧称变异量、变量。

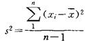
离均差的平方和与自由度的比值。常用σ2表示。由样本估计的方差又称均方,常用s2表示。

表达式:

它是总体方差σ2的最好估计值。

式中n-1为自由度;N为有限总体所含个体数。

随便看

 

离鸟网收录3541549条中英文词条,其功能与新华字典、现代汉语词典、牛津高阶英汉词典等各类中英文词典类似,基本涵盖了全部常用中英文字词句的读音、释义及用法,是语言学习和写作的有利工具。

 

Copyright © 2004-2024 vtrois.com All Rights Reserved
更新时间:2026/4/17 20:05:35