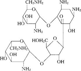
新霉素B
C23H46N6O13=614.65 CAS-119-04-0 2-脱氧-4-O-(2,6-二氨基-2,6-二脱氧-α-D-吡喃葡萄糖基)-5-O-[3-O-(2,6-二氨基-2,6-二脱氧-β-L-艾杜吡喃糖基)-β-D-呋喃核糖基]链霉胺。 2-Deoxy-4-O-(2,6-diamino-2,6-dideoxy-α-D-glucopyranosyl)-5-O-[3-O-(2,6-diamino-2,6-dideoxy-β-L-idopyranosyl)-β-D-ribofuranosyl]streptamine. 抗生素类药。用于葡萄球菌、痢疾杆菌、大肠杆菌、变形杆菌等感染。 NeomycinB,Framycetin(e),Framygen,Soframycin,Actilin. INN,BAN,BP,DCF,FP,USAN,MI.  |