网站首页  词典首页


请输入您要查询的字词:

 

字词 新增固定资产投资方案的决策
类别 中英文字词句释义及详细解析
释义 新增固定资产投资方案的决策

企业为了扩大生产经营规模,增加产品产量,提高产品质量,降低成本费用,提高企业的经济效益和市场竞争能力,往往需要新增一定数量的固定资产。企业新增固定资产主要包括生产用机器设备及厂房、建筑物等,新增的方式可自行建造,也可以向外购买。

企业是否应该新增某项固定资产,除应根据企业发展规划,考虑市场需求以及企业投资的各种条件外,还应考虑新增固定资产的投资能否给企业带来经济上的效益。因此,新增固定资产投资方案的决策,主要是从经济上对企业是否有利进行评价和判断的。在决策时,通过对新增固定资产投资效益的计算,若投资效益高,对企业有利,则可选择新增固定资产的投资方案;若投资效益低,对企业不利,则应加以否定。下面举例说明企业是否应新增固定资产决策的基本方法。

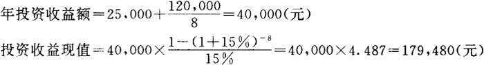
例:某企业为适应市场对甲产品的需求,准备新购入一台数控加工机床,计划投资总额为120,000元,使用年限为8年,无残值。该数控机床投入使用后,可使甲产品产量增加,质量提高,直接人工费和材料费降低,预计每年可增加净收益(税后净利)25,000元。预定投资报酬率为15%,试对该企业是否应新增该数控机床进行评价和决策。

下面从新增数控机床投资方案的净现值和内含投资报酬率两个指标的计算来进行评价和决策。

1.净现值计算

投资总额(现值)=120,000(元)

净现值=179,480-120,000=59,480(元)

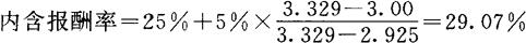
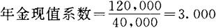
2.内含报酬率计算

查阅年金现值系数表: 期限为8年时:

贴现率 年金现值系数

25% 3.329

30% 2.925

以上计算结果表明,新增数控机床投资方案的净现值为正值,内含报酬率达29.07%,远远超过预定报酬率。说明企业从投资中可获得较大的投资收益,在经济上是较为有利的。因此企业可以采纳新增该数控机床的投资方案。

随便看

 

离鸟网收录3541549条中英文词条,其功能与新华字典、现代汉语词典、牛津高阶英汉词典等各类中英文词典类似,基本涵盖了全部常用中英文字词句的读音、释义及用法,是语言学习和写作的有利工具。

 

Copyright © 2004-2024 vtrois.com All Rights Reserved
更新时间:2026/4/18 21:54:47