网站首页  词典首页


请输入您要查询的字词:

 

字词 新古典经济增长模型
类别 中英文字词句释义及详细解析
释义 新古典经济增长模型

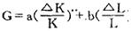
美国经济学家索洛与英国经济学家米德等人提出的经济增长模型。索洛等人认为,在经济增长过程中,不应仅考虑凯恩斯的投资与储蓄理论,还应考虑随著工资率和利率的相对变动,生产要素之间相互替代的可能性,也就是考虑资本与劳动之间的配合比例问题。基于上述认识,索洛等人提出了新的经济增长模型,其公式为:

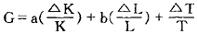
式中,G表示经济增长率,△K/K与△L/L分别表示资本增长率与劳动增长率,a、b则分别表示它们对产量增长的相对作用份额。该公式表明,经济增长率等于资本和劳动的增长率乘以它们各自的产出弹性之和。由此,人们可以通过调节生产要素投入的边际生产力,即调节资本/劳动配合比例来改变资本/产出比率,以实现理想的均衡增长。而劳动与资本的配合比变动则可以通过发挥市场调节作用来实现,即通过市场上要素价格一工资率与利率的变动来实现。既然资本/产出比率是可变的,能够实现的均衡增长率就不应只是唯一的值。这样,“哈罗德-多马模型”中的“刃锋”就可避免。以上只是技术不变条件下的新古典经济增长模型。如考虑技术进步并以△T/T表示技术进步,则上述模型将变为:

即经济增长率取决于资本和劳动的增长率、资本和劳动各自的产出弹性及技术进步。

随便看

 

离鸟网收录3541549条中英文词条,其功能与新华字典、现代汉语词典、牛津高阶英汉词典等各类中英文词典类似,基本涵盖了全部常用中英文字词句的读音、释义及用法,是语言学习和写作的有利工具。

 

Copyright © 2004-2024 vtrois.com All Rights Reserved
更新时间:2026/4/19 0:26:07