网站首页  词典首页


请输入您要查询的字词:

 

字词 新产品设计完成成本
类别 中英文字词句释义及详细解析
释义 新产品设计完成成本

新产品设计完成后,要对产品的原材料、工资、费用三个主要部分的成本进行详细估算,以便合理组织今后的生产。

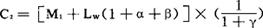
其计算公式如下:

式中:C2表示新产品估算成本(元);M1表示原料及主要材料费用(元);Lw表示生产工人的基本工资及附加工资(元);α表示车间经费的摊配率(%);β表示企业管理费的摊配率(%);γ表示其它费用占成本的百分比(%)。

(1)材料费用的计算方法:

式中:Rm表示回收金属废料价值占全部材料费的比重(%);Sa1表示第i种材料的价格(元/公斤);G1表示第i种材料的单位消耗定额(公斤);n表示材料种类;Mn表示外购件的价值(元)。

对于系列产品,其材料成本估算公式为:

式中:H1表示与新产品属于同一系列的某规格的老产品的重量(公斤);H2表示新产品的重量(公斤);MI1表示与新产品属于同一系列的某规格老产品单位重量的基本材料费用(元/公斤)。

(2)生产工人工资的计算方法:

生产工人基本工资为工时定额与平均小时工资标准的乘积,即:

Lw′=TL·Lh

式中:Lw′表示生产工人基本工资;TL表示工时定额;Lh表示平均小时工资标准。

这里新产品工时定额TL是以类似产品的劳动定额资料为基础,分部件用概略方法计算的。

如果新产品的某些部件,在几何形状上与从前制造过的部件相类似,则制造该类部件的劳动量t与部件的重量G有下述关系:

t≈Gy/x

式中:y/x为部件重量和加工劳动量间的关系指数,可通过统计资料求得,其值在0到1之间,并随著技术的发展而减少。

当知道了类似部件的重量H1和第i年时制造它所消耗的工时定额TLi,又知道了新部件的重量H2,就可按下式求出现在制造新产品部件的工时定额(TL2):

式中:λ为从i年到目前期间内相类似工作的产量定额增长系数。平均小时工资标准Lh可以按下式计算:

式中:Lhj表示j级工人的工资标准;TLj表示j级工人制造类似产品时所消耗的定额工时数。

最后,可求出生产工人基本工资和附加工资的总和:

Lw=Lw′(1+Q%)

式中:Q%表示附加工资对基本工资的百分比。

随便看

 

离鸟网收录3541549条中英文词条,其功能与新华字典、现代汉语词典、牛津高阶英汉词典等各类中英文词典类似,基本涵盖了全部常用中英文字词句的读音、释义及用法,是语言学习和写作的有利工具。

 

Copyright © 2004-2024 vtrois.com All Rights Reserved
更新时间:2026/4/17 15:41:28