网站首页  词典首页


请输入您要查询的字词:

 

字词 斯卡查德理论
类别 中英文字词句释义及详细解析
释义 斯卡查德理论

混合物的自由能()可表示为离子强度的幂级数,并假设仅是离子强度的函数,并可由各组分的单独电解质溶液的性质估算出来。

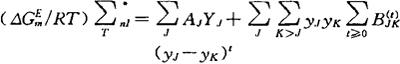
如果为中性电解质:

式中,摩尔组分J中离子i的摩尔数目;AJ是可调参数。

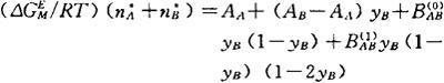
如果为两种盐的混合物,则

对于海水这样复杂的混合物,上述方程可能引起混乱。所以,斯卡查德提出将离子作为溶液组分,但所得方程十分复杂。

随便看

 

离鸟网收录3541549条中英文词条,其功能与新华字典、现代汉语词典、牛津高阶英汉词典等各类中英文词典类似,基本涵盖了全部常用中英文字词句的读音、释义及用法,是语言学习和写作的有利工具。

 

Copyright © 2004-2024 vtrois.com All Rights Reserved
更新时间:2026/4/20 10:24:28