斗式提升机
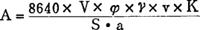
1.结构与性能 甜菜糖厂中斗式提升机用于提升甜菜、糖、干粕等物料。 斗式提升机的结构见图2-11。两斗间的连接有采用锻造环形链,也有采用套筒滚柱链。可用单排或双排链连接,但双排链由于在拉力作用下,链条伸长可能不一而使戽斗翘曲。 1-戽斗 2-上下鼓轮 2.生产能力计算  式中 A——加工甜菜量(吨/日) V——一个斗的总容积(米3) φ——斗的充填系数 甜菜取0.7 糖取0.75 压粕取0.5 干粕取0.7 γ——输送物料的容重(公斤/米3) 甜菜取500 废粕取600 压粕取500 干粕取250 糖取800 v——斗的提升速度(米/秒) 甜菜取0.65(环形链) 甜菜取0.80(套筒滚柱链) 糖取1.5 各种形式废粕取1.0 或v=3.14Dn/60 D——鼓轮上链沟直径(米) n——鼓轮每分钟转数 S——斗的间距(米) S=2H+3.14D/m H——上下鼓轮轴间的距离(米) m——提升机的斗数 K——不均衡系数,取0.8 a——物料量(%对甜菜) 甜菜取100 糖取>15 废粕按实数 3.需用功率计算  式中 G——提升物料量(吨/小时) H——提升高度(米) η——机械效率,取0.2~0.3 4.斗式提升机规格 制糖设备系列化后,斗式提升机定有下列三种,以斗容积(升)计为:20、40及50。 表2-18为斗式提升机的规格。 表2-18 TLD型斗式提升机规格  5.流槽倾斜角度 用于输送甜菜,提升机前后的流槽倾斜角度为(对水平面)25~37°(视流槽长度及有无弯曲而定),流槽宽度应大于400毫米。 用于输送糖时,提升机前后流槽倾斜角(对水平面)为60°。 |