网站首页  词典首页


请输入您要查询的字词:

 

字词 文丘里喉管选择计算
类别 中英文字词句释义及详细解析
释义 文丘里喉管选择计算

1.喉管直径

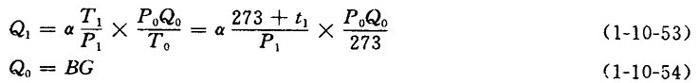
【公式】

式中 d1——文丘里喉管直径(m)

ω1——进口烟气流速,一般取80m/s

Q1——进口烟气流量(m3/h)

P0——锅炉本体压力降,一般采用686.47Pa(70mmH2O)

P1——进口烟气压力(Pa)

P1=P-P0 (1-10-55)

P——标准状况下大气压力(101325Pa)

α——漏气系数,取1.2

t1——进口烟气的温度(C)

B——固形物产生烟气量,—般为5000标准m3/t固形物

G——每小时进喷射炉固形物总量(t/h)

2.喉管长度

【公式】

L=(0.5~1)d1 (1-10-56)

式中 L——喉管长度(m)

d1——同上

随便看

 

离鸟网收录3541549条中英文词条,其功能与新华字典、现代汉语词典、牛津高阶英汉词典等各类中英文词典类似,基本涵盖了全部常用中英文字词句的读音、释义及用法,是语言学习和写作的有利工具。

 

Copyright © 2004-2024 vtrois.com All Rights Reserved
更新时间:2026/4/18 14:42:49