网站首页  词典首页


请输入您要查询的字词:

 

字词 整群抽样
类别 中英文字词句释义及详细解析
释义 整群抽样

亦称“集体抽样”。

指从总体各单位中,不是逐个而是成批地抽取调查单位的抽样方法。整群抽样可采用纯随机抽样,而更常用的是等距抽样。

如在工业产品质量检验中,决定抽查产品的百分之五,就可每隔二十小时,抽取一小时的产品加以全面检验。又如调查农民饲养畜禽时,可先抽取生产队,而后对抽中的生产队所有农户全部加以调查。

整群抽样的组织工作比较方便,抽出有很多单位的一组或群进行调查,可节省调查的时间和费用。但是,以组或群为单位进行抽取,被抽取的单位较集中,影响在总体中分布的均匀性,在抽取单位数相同的条件下,整群抽样的误差较其他抽样方式为大,代表性较低。

整群抽样的可靠程度,取决于各群(组)间平均数的变动程度,各群间平均数的变动程度愈小,则抽样结果愈精确。测定整群抽样中各群平均数变动程度的为群间方差,即各群平均数对全及平均数的均方差平方。

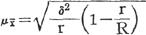
在不重复抽样下,整群抽样平均数的平均误差为:

抽样成数的平均误差为:

式中:R代表全及总体中划分的群数,r代表被抽取的群数,82为平均数的群间方差,下为成数的群间方差。

随便看

 

离鸟网收录3541549条中英文词条,其功能与新华字典、现代汉语词典、牛津高阶英汉词典等各类中英文词典类似,基本涵盖了全部常用中英文字词句的读音、释义及用法,是语言学习和写作的有利工具。

 

Copyright © 2004-2024 vtrois.com All Rights Reserved
更新时间:2026/4/18 6:04:54