网站首页  词典首页


请输入您要查询的字词:

 

字词 整式
类别 中英文字词句释义及详细解析
释义 整式

单项式和多项式统称整式.

注意 1.单项式、多项式都是整式.

2.整式是代数式,但代数式不一定是整式.

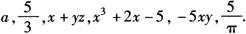
例 下列代数式中,哪些是整式?哪些是单项式,哪些是多项式?

解 整式有

单项式有:a,5/3,5/π,-5xy.

多项式有:x+yz,x3+2x-5.

[解析] π表示圆周率,是一个常数,因而5/π是单项式,也是整式.

随便看

 

离鸟网收录3541549条中英文词条,其功能与新华字典、现代汉语词典、牛津高阶英汉词典等各类中英文词典类似,基本涵盖了全部常用中英文字词句的读音、释义及用法,是语言学习和写作的有利工具。

 

Copyright © 2004-2024 vtrois.com All Rights Reserved
更新时间:2026/4/18 17:36:06