数字PID控制算法
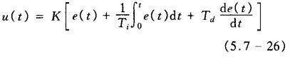
PID控制器的作用在连续系统中是熟知的,在离散控制系统中也广泛采用数字PID控制器。用微型计算机去实现PID的算法很多而且比较灵活。 模拟量的PID控制算式为  式中 e(t)——系统的偏差信号(即为控制器的输入); u(t)——系统的控制量(即为控制器的输出); K——比例增益; Ti——积分时间常数; Td——微分时间常数。 将模拟量的PID控制算式(5.7-26)用几种方法进行离散化,得出数字化的PID基本算法,示于表5.7-6中,表中T为采样周期。 表5.7-6 数字PID控制算式  对于表5.7-6中的位置型算式,当由计算机实现时不够方便,这是因为要累加偏差e(j),不仅要占用较多的存储单元,且不便于编程序。而增量型算式在编程上要比位置型算式方便,且少占存储单元。 |