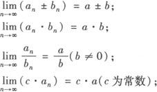
数列极限的四则运算
如果 , ,那么   解 已知两式中,分子、分母中的数列变化趋势都是+∞或—∞,它们的极限都不存在,故不能直接运用商的极限运算法则运算,必须先对整个分式进行等价变形,使得变形后的分式的分子,分母极限都存在,然后运用商的极限进行运算.    N*,a0,a1…ak,b0,b1…bl都是常数,且a0,b0均不为0,其解答方法是对公式的分子,分母同除以nk,nl中指数较高的一个,使公式等价变形后再进行四则运算. (3)中先(分子)有理化,然后再利用上述方法.  解 此题中含有参数变量a,当|a|>2或|a|<2时,利用 所作变形是不同的,因此,需分类求解.  当a=—2时,极限不存在  |