网站首页  词典首页


请输入您要查询的字词:

 

字词 敌菌灵
类别 中英文字词句释义及详细解析
释义 敌菌灵

杂环类杀菌剂。

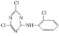
化学名称:2,4-二氯-6-(2-氯代苯氨基)均三氮苯。化学结构式如下。原药白色结晶,难溶于水,但能溶于大多数溶剂。

在中性和弱酸液中稳定,碱性液中加热能分解。为保护性杀菌剂,对交链孢霉、尾孢霉、葡萄孢霉等真菌引起的病害有效,作叶面喷洒用。对大鼠急性口服LD50为2710mg/kg,对皮肤有刺激作用。

随便看

 

离鸟网收录3541549条中英文词条,其功能与新华字典、现代汉语词典、牛津高阶英汉词典等各类中英文词典类似,基本涵盖了全部常用中英文字词句的读音、释义及用法,是语言学习和写作的有利工具。

 

Copyright © 2004-2024 vtrois.com All Rights Reserved
更新时间:2026/4/20 13:12:44