网站首页  词典首页


请输入您要查询的字词:

 

字词 放锅的工艺计算
类别 中英文字词句释义及详细解析
释义 放锅的工艺计算

1.放锅产生的蒸汽量

【说明】放锅时,锅内压力由490kPa(158℃)降至常压(100C),液体的热焓从667.38kJ/kg降至414.91kJ/kg。

❶ 由液体放出的热量Q3

Q3=5760(667.38-414.91)

=1454193(kJ)

式中 5760——放汽后锅内存留液体量(kg/t风干浆)见表1-2-25

❷ 由浆料及黑液中的固形物放出的热量Q1

Q1=G黑液C(t2-t1) (1-2-43)

=(900+1201+539)×1.34×(158-100)

=205153(kJ)

式中 G黑液——放汽后锅内存留的浆料、溶解物及无机物的量(kg/t风干浆),见表1-2-25

❸ 总计放出热量Q

Q=Q3+Q1=1454193+205153=1659345(kJ)

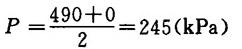
❶ 放锅期间平均压力P

此压力下的汽化潜热为2154kJ/kg。

❺ 放锅产生蒸汽量D

2.放锅时由锅内放出的物料量(按1t风干浆计)

水:5760-770=4990(kg)

蒸汽:770kg

浆料:900kg

黑液中的有机物:1201kg

无机物:539kg

总计:8400kg

其中总Na2O:402kg

表1-2-25 大放汽物料平衡表 (kg/t风干浆)

随便看

 

离鸟网收录3541549条中英文词条,其功能与新华字典、现代汉语词典、牛津高阶英汉词典等各类中英文词典类似,基本涵盖了全部常用中英文字词句的读音、释义及用法,是语言学习和写作的有利工具。

 

Copyright © 2004-2024 vtrois.com All Rights Reserved
更新时间:2026/4/17 23:48:26