网站首页  词典首页


请输入您要查询的字词:

 

字词 收益率
类别 中英文字词句释义及详细解析
释义 收益率

又称资本收益率或报酬率。

一般指从资本投资中所得到的收益,表示为收入与支出之比。经济学家在计算资本投资的报酬时考虑了现金流量的时间因素。由于投资一个项目都会有机会成本,投资者既可以在不同的项目间比较收益,也可以在出借资金和自己经营之间进行决策。所以,市场利率可以作为一种投资项目的机会成本,经济学家用内部收益率来度量投资机会的收益。

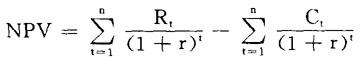
内部收益率就是使投资项目的净现值为零的贴现率。一个项目的净现值用收益的现值与成本的现值之差来表示:

其中,Rt和Ct是t年的收益和成本,NPV是净现值,r是贴现率,n是投资项目的寿命期。使NPV为零的r值就是内部收益率,它反应投资项目的损益收益率。如果现期利率大于内部收益率,投资者就会避免投资,反之,现期利率小于内部收益率,投资者就会进行投资。

理性的投资者比较所有投资项目的内部收益率,选择收益最大的项目。

另外,企业家和会计人员有时也将收益率定义为利润与使用资本之比,利润可指投资项目整个寿命期间的平均数,资本则是整个寿命期内所使用的平均资本,这种定义未把现金的时间因素考虑进去。

随便看

 

离鸟网收录3541549条中英文词条,其功能与新华字典、现代汉语词典、牛津高阶英汉词典等各类中英文词典类似,基本涵盖了全部常用中英文字词句的读音、释义及用法,是语言学习和写作的有利工具。

 

Copyright © 2004-2024 vtrois.com All Rights Reserved
更新时间:2026/4/20 12:00:46