网站首页  词典首页


请输入您要查询的字词:

 

字词 操作手的雅可比矩阵
类别 中英文字词句释义及详细解析
释义 操作手的雅可比矩阵

(Jacobian)

操作手运动学的正问题和逆问题,从正反二方面研究了关节状态矢量与末端装置的位置与方位之间的关系。在运动控制中,尚需确定关节的无穷小运动在末端装置位置与方位无穷小变化之间的关系。在无穷小关节运动与无穷小末端装置运动之间存在一线性关系。这一关系可用雅可比矩阵定义。若设末端装置的微小移动和微小转动为d和δ,则

j关节转动对末端装置角速度Ω的奉献为

(5.13-43)

总起来,如果j关节为转动关节,则

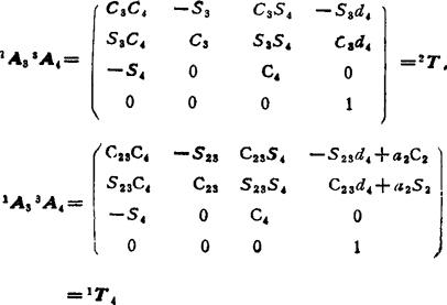
由于关节2和3的轴是平行的,可用1A3=1A22A3代替1A3,故需要计算的矩阵为:

从以上各式中即可得到式(5.13-53)和(5.13-54)的各变量。因为

由(5.13-53)式计算操作手雅可比矩阵各列,得

雅可比矩阵元素中有重复项,上式等价于

式中θ2323。由(5.13-57)式计算4n、4a4a和4p,得

由(5.13-56)式得

6vy=-C5S64v2-S5S64vy-C64v2

6v2=-S54vx+C54vy

x=C5C64Ω2+S5C64Ωy-S64Ω2

y=-C5S6Ω2-S5S6y-C62

2=-S54Ωx+C5y

计算4J只需11次乘法运算和3次加法运算;求4v和4Ω需要16次乘法运算和12次加法运算;求6v和6Ω需要20次乘法运算和10次加法运算。总数分别为47次和25次。

随便看

 

离鸟网收录3541549条中英文词条,其功能与新华字典、现代汉语词典、牛津高阶英汉词典等各类中英文词典类似,基本涵盖了全部常用中英文字词句的读音、释义及用法,是语言学习和写作的有利工具。

 

Copyright © 2004-2024 vtrois.com All Rights Reserved
更新时间:2026/4/19 9:05:14