网站首页  词典首页


请输入您要查询的字词:

 

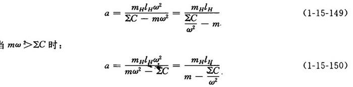
字词 摇振器的振幅计算
类别 中英文字词句释义及详细解析
释义 摇振器的振幅计算

【公式】 当mω∑C时:

式中 a——振幅(m)

其它同前

【讨论】 当ω(角速度即摇振的频率)值在mω∑C的条件下变化时,ω值小则式的右边分母大而使振幅a也小,ω增大将使a也增大;当ω值恰使mω2=∑C时,振幅公式的右边分母为零,发生共振现象;当ω增大至mω2>∑C时,ω增大将使分母值增大而使振幅值a减小。为了避免发生共振,偏重式摇振器都配有弹簧减振器。

随便看

 

离鸟网收录3541549条中英文词条,其功能与新华字典、现代汉语词典、牛津高阶英汉词典等各类中英文词典类似,基本涵盖了全部常用中英文字词句的读音、释义及用法,是语言学习和写作的有利工具。

 

Copyright © 2004-2024 vtrois.com All Rights Reserved
更新时间:2026/4/18 20:27:23