网站首页  词典首页


请输入您要查询的字词:

 

字词 插值法
类别 中英文字词句释义及详细解析
释义 插值法

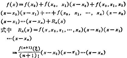
15.3.1 均差插值公式

插值点为x0<x1<…<xn

(ξ在x0,xn和x中的最小值与最大值之间)。

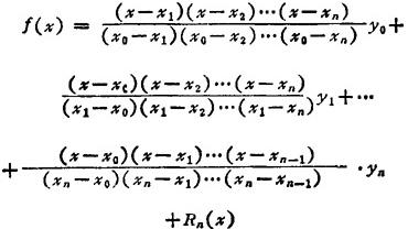
15.3.2 拉格朗日插值公式

式中 Rn与15.3.1中Rn相同。

15.3.3 牛顿向前插值公式

适用于x接近a而大于a的情况。插值点为x0=a,x1=a+h,…,xn=a+nh

f(x)=f(a+th)=y0+t△y0++…+

式中

15.3.4 牛顿向后插值公式

适用于x接近于a而小于a的情况,插值点为

x-n=a-nh,x-(n-1)=a-(n-1)h,…x-1=ah,x0=a0

f(x)=f(a-th)=y0-t▽y0+-…+(-1)+Rn(x)

式中 f)n+1)(ξ),(a-nh<ξ<a)。

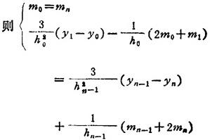
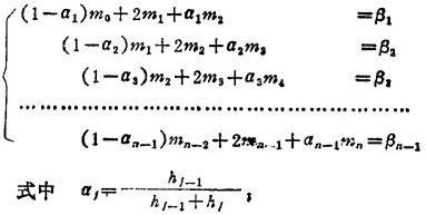
15.3.5 三次样条插值函数

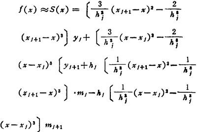
插值点为x0<x1<…<xn。区间〔x0,xn〕上y=f(x)的三次样条插值函数S(x)指的是满足下列三个条件的函数:1.在每一子区间〔xj,xj+1〕上S

(x)都是三次多项式;2.S(xj)=f(xj)=yj,(j=0,1,2,…n),3.在〔x0,xn〕上S(x)有一至二阶连续导数(曲线光滑连接)。则在子区间〔xj,xj+1〕(j=0,1,2,…,n-1)上

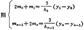
式中 hj=xj+1-xj;mj=S′(xj)由下列方程组及其边界条件确定:

常见的几种边界条件为:

❶ 已知S′(x0)=m0,S′(xn)=mn

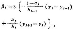
❷ 已知

❸ y=f(x)为周期函数,其基本周期为xn-x0

随便看

 

离鸟网收录3541549条中英文词条,其功能与新华字典、现代汉语词典、牛津高阶英汉词典等各类中英文词典类似,基本涵盖了全部常用中英文字词句的读音、释义及用法,是语言学习和写作的有利工具。

 

Copyright © 2004-2024 vtrois.com All Rights Reserved
更新时间:2026/4/21 3:37:06