网站首页  词典首页


请输入您要查询的字词:

 

字词 提高进烘干部纸页干度的蒸汽节约量的计算
类别 中英文字词句释义及详细解析
释义 提高进烘干部纸页干度的蒸汽节约量的计算

【例】 已知成纸干度为93%,压榨后湿纸干度为30%,求干燥脱水量?如果压榨后湿纸干度为31%,成纸干度不变,那么,可节约多少干燥蒸汽?

解:压榨后湿纸页干度改变前后的蒸发水量分别为:

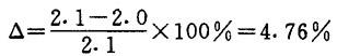
压榨干度提高前后,蒸发水量的变化为:

故可节约蒸汽为4.76%

随便看

 

离鸟网收录3541549条中英文词条,其功能与新华字典、现代汉语词典、牛津高阶英汉词典等各类中英文词典类似,基本涵盖了全部常用中英文字词句的读音、释义及用法,是语言学习和写作的有利工具。

 

Copyright © 2004-2024 vtrois.com All Rights Reserved
更新时间:2026/4/19 16:20:50