网站首页  词典首页


请输入您要查询的字词:

 

字词 描述匀速圆周运动快慢的物理量
类别 中英文字词句释义及详细解析
释义 描述匀速圆周运动快慢的物理量

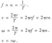
1.线速度v

(1)意义:描述质点沿圆弧运动的快慢,线速度越大,质点沿圆弧运动越快.

(2)定义:线速度的大小等于质点通过的弧长s与所用时间t的比值:

(3)单位:m/s.

(4)矢量:方向在圆周各点的切线方向上.

(5)就是物体做匀速圆周运动的瞬时速度

(6)质点做匀速圆周运动时,线速度大小不变,但方向时刻在改变,故其线速度不是恒矢量.

2.角速度ω

(1)定义:连接质点和圆心的半径(动半径)转过的角度φ跟所用时间t的比值,叫做匀速圆周运动的角速度,用公式表示为:

(2)单位:rad/s(弧度每秒).

(3)矢量(中学阶段不讨论).

(4)意义:具有两重性,(A)因角速度ω越大,在相同时间t内,动半径转过的角度φ=ωt也越大,动半径转动越快,质点绕圆心运动也就越快,故角速度描述质点绕圆心运动的快慢(动半径转动快慢),(B)因线速度v始终与动半径垂直,当动半径转过φ时,角线速度的方向也改变了φ角,ω越大,动半径转动越快,线速度方向改变也越快,故角速度也描述线速度方向改变的快慢.

(5)质点做匀速圆周运动时,角速度ω恒定不变.

3.周期T

(1)定义:做匀速圆周运动的物体运动一周所用的时间叫做周期.

(2)单位:s(秒)

(3)标量:只有大小.

(4)意义:定量描述匀速圆周运动的快慢,周期长说明运动得慢,周期短说明运动得快.

(5)质点做匀速圆周运动时,周期恒定不变.

4.频率f

(1)定义:周期的倒数(每秒内完成周期性运动的次数)叫频率.

(2)单位:Hz(赫).

(3)标量:只有大小.

(4)意义:定量描述匀速圆周运动的快慢,频率高说明运动得快,频率低说明运动得慢.

(5)质点做匀速圆周运动时,频率恒定不变.

5.转速n

(1)定义:做匀速圆周运动的质点每秒转过的圈数.

(2)单位:在国际单位制中为r/s(转每秒);常用单位为r/min(转每分).1r/s=60r/min.

(3)标量:只有大小.

(4)意义:实际中定量描述匀速圆周运动的快慢,转速高说明运动得快,转速低说明运动得慢.

(5)质点作匀速圆周运动时,转速恒定不变.

(6)相互关系

例1 一把雨伞,撑开后伞面边缘呈一圆形(半径为r)平行于水平地面,距地面的高度为h.在雨中行走时,手转伞柄,使整个雨伞以角速度ω匀速旋转,问:伞面边缘甩出的水滴落在水平地面上形成的圆的半径有多大?

分析 由于雨伞以角速度ω旋转,在雨伞边缘的雨水滴将具有v=rω的线速度,水滴从伞面边缘甩出后做平抛运动,水平初速度即v=rω.

解 在空中水滴飞行时间为

水平射程为

设水滴从a点处甩出伞面,落在水平地面上的b点处,O为圆心(转动轴),作出水滴甩出至落地的示意图(俯视图)如图所示,可以看出,水滴落在水平地面上形成的圆的半径为

例2 如图所示的皮带传动装置(传动皮带是绷紧的且运动中不打滑)中,主动轮O1的半径为r1,从动轮O2有大小两轮固定在一个轴心O2上,半径分别为r3、r2,已知r3=2r1,r2=1.5r1,A、B、C分别是三个轮边缘上的点,则当整个传动装置正常工作时,A、B、C三点的线速度之比为____;角速度之比为____;周期之比为____.

分析 因同一轮子(或固结在一起的两轮)上各点的角速度都相等,皮带传动(皮带不打滑)中与皮带接触的轮缘上各点的线速度都相等(因各点在相等时间内转过的圆弧长度相等),故本题中B、C两点的角速度相等,即

ωBC. ❶ 

A、B两点的线速度相等,即

vA=vB.❷ 

因A、B两点分别在半径为r1和r3的轮缘上,r3=2r1,故由及❷ 式可得角速度

ωA=2ωB.❸ 

由❶ ❸ 式可得A、B、C三点角速度之比为

ωA∶ωB∶ωC=2∶1∶1.❹ 

因B、C分别在半径为r3、r2的轮缘上,r2=1.5r1=3/4r3,故由v=rω及❶ 式可得线速度

由❷ ❺ 或可得A、B、C三点线速度之比为

vA∶vB∶vC=4∶4∶3.❻ 

及❹ 可得A、B、C三点的周期之比为

TA∶TB∶TC=1∶2∶2.❼ 

综上所述,本题正确答案是:4∶4∶3,2∶1∶1,1∶2∶2.

随便看

 

离鸟网收录3541549条中英文词条,其功能与新华字典、现代汉语词典、牛津高阶英汉词典等各类中英文词典类似,基本涵盖了全部常用中英文字词句的读音、释义及用法,是语言学习和写作的有利工具。

 

Copyright © 2004-2024 vtrois.com All Rights Reserved
更新时间:2026/4/19 14:06:18