网站首页  词典首页


请输入您要查询的字词:

 

字词 排列与组合
类别 中英文字词句释义及详细解析
释义 排列与组合

1.5.1 全排列

从n个不同元素中每次取出n个元素,按一定顺序排列的排列种数为:

Pn=An=n(n-1)(n-2)…3.2.1=n1

1.5.2 选排列

从n个不同元素中每次取出k个(k≤n)不同元素,按一定顺序排列的排列种数为:

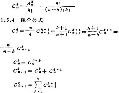
1.5.3 组合

从n个不同元素中每次取出k个不同元素,不管其顺序合并成一组的组合种数为:

随便看

 

离鸟网收录3541549条中英文词条,其功能与新华字典、现代汉语词典、牛津高阶英汉词典等各类中英文词典类似,基本涵盖了全部常用中英文字词句的读音、释义及用法,是语言学习和写作的有利工具。

 

Copyright © 2004-2024 vtrois.com All Rights Reserved
更新时间:2026/4/18 4:48:14