损益平衡定价法
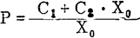
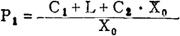
又称盈亏分界点定价法、收支平衡定价法。 是以盈亏分界点的总成本为依据来确定产品价格的一种方法。 盈亏分界点是指企业在收支平衡、利润为零时的销售水平,其计算公式是:  C1-固定成本 P-销售价格 C2-单位变动成本 X0-盈亏平衡时的销售量 由此推出一定销售量的产品,其保本价格应定为:  但企业经营的目的是为了取得利润,因此这一价格公式必须经过修正,如引入预期利润L于是有公式:  价格P可使企业了解,价格至少应定在什么水平上,才能保证保本而不亏本,价格P1则可使企业了解,在某一既定的利润目标下,价格应在什么水平上。 损益平衡法与完全成本定价法,加工成本定价法相比,更为重视总成本的必要补偿和盈利。损益平衡法定价,是从保本入手,通过盈亏平衡点的确定,制定企业最佳的产品结构和产量——价格组合。 |